Are you looking for a fun way to help your child practice math skills at home? Did you hear about worksheet math activities? These engaging worksheets are a great way to reinforce math concepts while having a good time.
Worksheet math activities cover a wide range of topics, from basic addition and subtraction to more advanced multiplication and division. They are designed to be interactive and hands-on, making learning math enjoyable and effective for kids of all ages.
did you hear about worksheet math
Have you tried worksheet math with your child?
Many parents have found that using worksheet math activities at home has helped their children improve their math skills and build confidence in the subject. Whether your child is struggling with math or just looking for extra practice, these worksheets can make a big difference.
One of the best things about worksheet math activities is that they can be done anywhere, anytime. You can easily print out worksheets or find online resources to use on your computer or tablet. This flexibility makes it easy to incorporate math practice into your child’s daily routine.
With worksheet math activities, you can track your child’s progress and see how they are improving over time. This can help you identify areas where they may need extra support and tailor their math practice to meet their individual needs. Plus, seeing their progress can be a great motivator for kids to keep practicing and learning.
So why not give worksheet math activities a try with your child? It’s a fun and effective way to help them build strong math skills and develop a love for learning. Who knows, they might even start asking for more math worksheets!
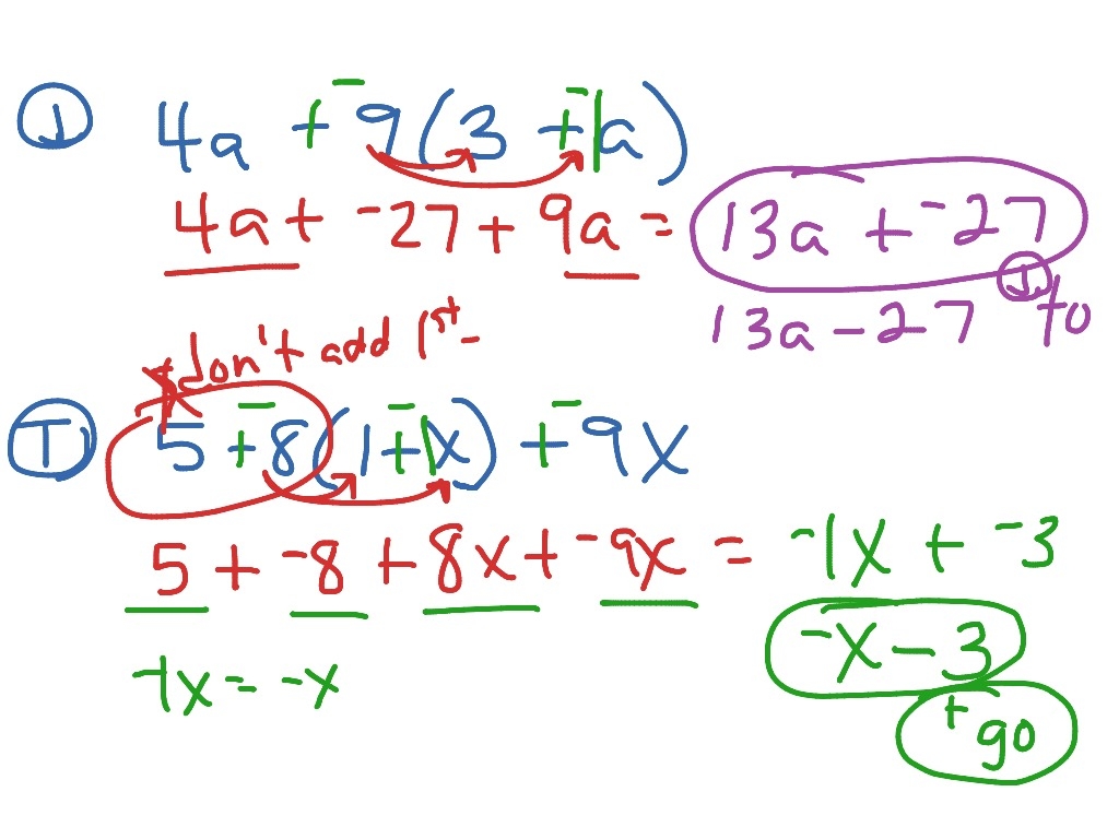
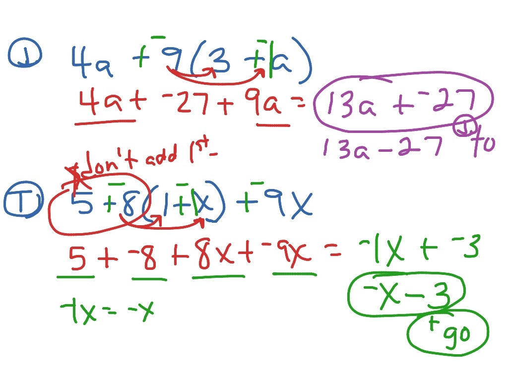
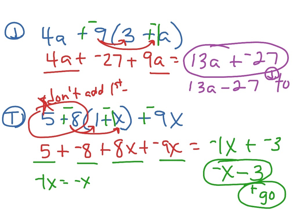
Did You Hear About Worksheet Distributive Property Simplifying Expressions ShowMe
Did You Hear About YouTube
Mrs Garnet Mrs Garnet At PVPHS
Answered Solve Each System Of Equations Below Using Multiplication With The Addition Method Find The Solution In The Answer Column And Notice The Word Next To It Write Bartleby
Homework Flightdeck Ford Your Launch Point To Push Your Envelope Of Learning And Loving Mathematics





