Math can be a challenging subject for many students, but did you hear about the latest trend in helping kids improve their math skills? The answer lies in math worksheets!
Math worksheets are a fun and interactive way for children to practice their math skills at home or in the classroom. These worksheets can cover a wide range of topics, from basic addition and subtraction to more advanced concepts like algebra and geometry.
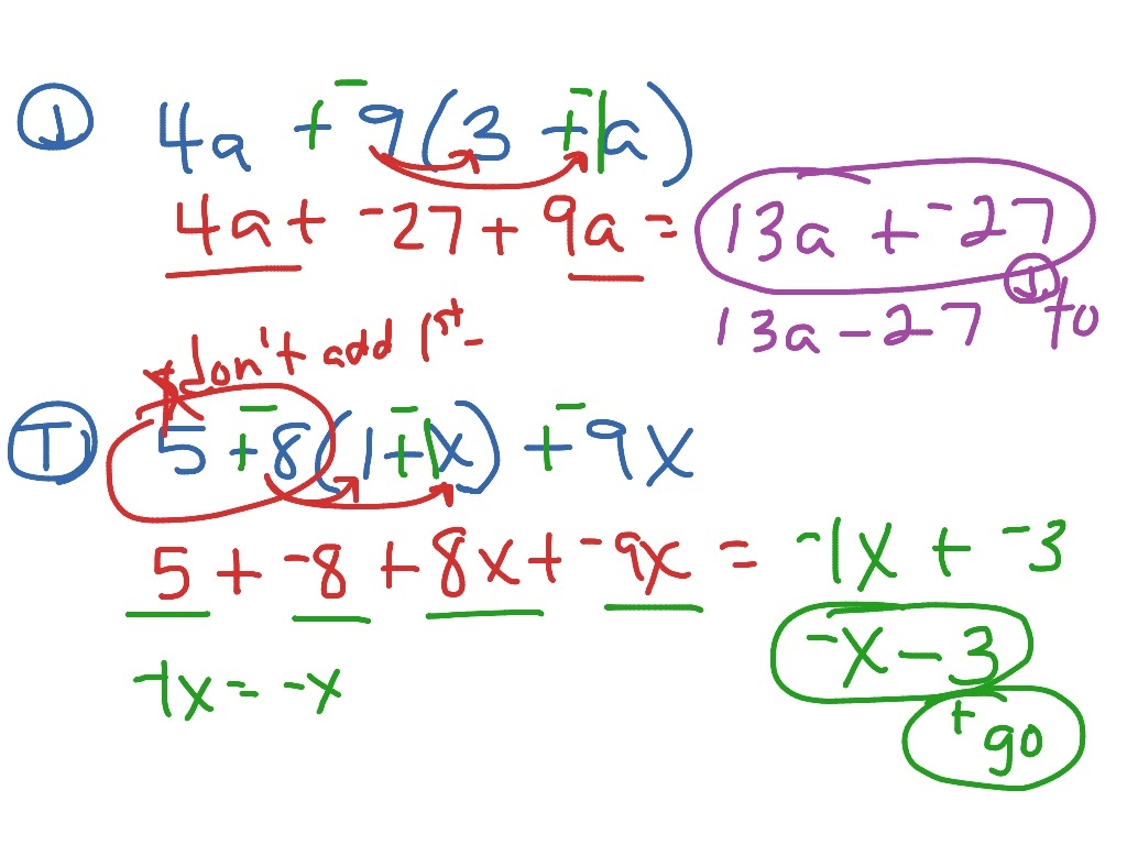
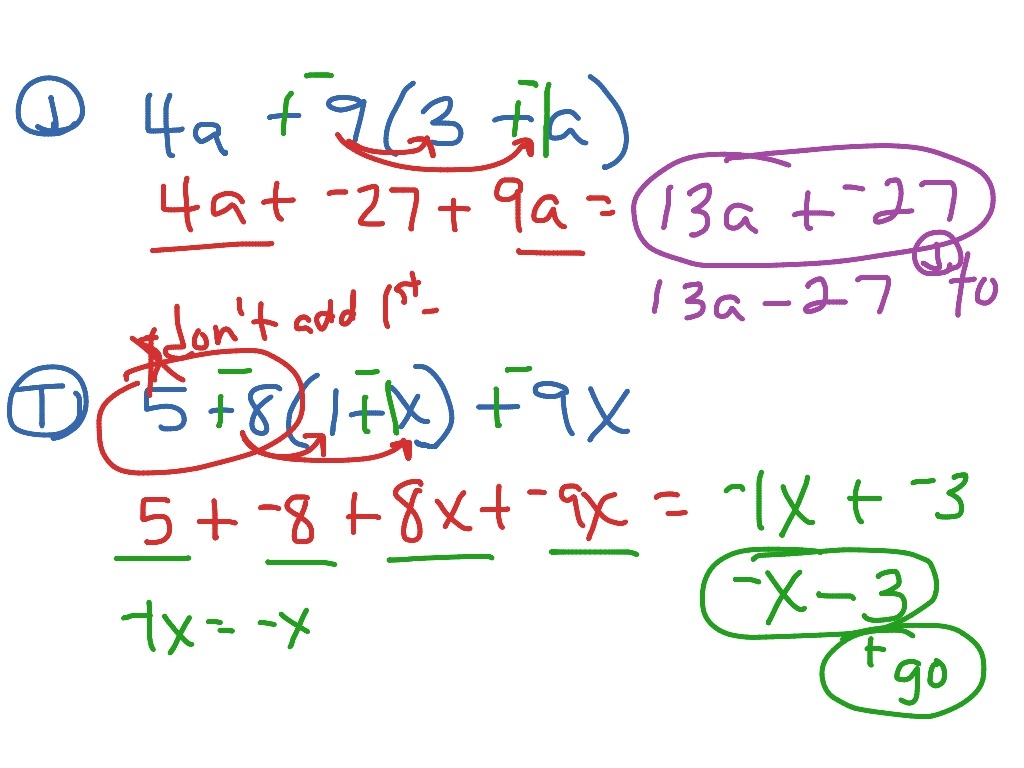
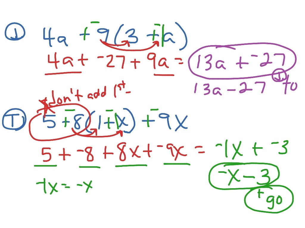
did you hear about… math worksheet
Did you hear about the benefits of using math worksheets?
One of the main benefits of using math worksheets is that they provide a structured and organized way for students to practice what they have learned in class. This can help reinforce concepts and improve retention.
Another advantage of math worksheets is that they can be tailored to suit the individual needs of each student. This means that kids can work at their own pace and focus on areas where they need the most help.
Furthermore, math worksheets can be a great tool for parents and teachers to track a child’s progress and identify areas where they may need extra support. By regularly using math worksheets, students can build confidence and improve their overall math skills.
In conclusion, math worksheets are a valuable resource for helping kids improve their math skills in a fun and engaging way. Whether your child is struggling with basic arithmetic or looking to tackle more challenging concepts, incorporating math worksheets into their learning routine can make a big difference in their academic success!
Did You Hear About Worksheet Distributive Property Simplifying Expressions ShowMe
Did You Hear About YouTube
Puzzles Did You Hear Puzzle Key 2 Triangle Lengths Solutions Studocu
Mrs Garnet Mrs Garnet At PVPHS
Homework Flightdeck Ford Your Launch Point To Push Your Envelope Of Learning And Loving Mathematics





