Math can be a challenging subject for many students, but it doesn’t have to be! One way to make math more fun and engaging is by using math worksheets. These worksheets are a great tool for practicing math skills in a structured and organized way.
Whether you’re a parent looking to help your child improve their math skills or a teacher searching for resources to use in the classroom, math worksheets can be a valuable asset. They cover a wide range of topics, from basic arithmetic to advanced algebra, making them suitable for students of all ages and abilities.
did you hear about the math worksheet
Did You Hear About the Math Worksheet?
One of the best things about math worksheets is that they provide a hands-on approach to learning. By completing exercises and problems on paper, students can reinforce the concepts they’ve learned in class and gain confidence in their abilities.
Math worksheets are also a versatile tool that can be used in various settings. They can be printed out for individual practice at home, incorporated into lesson plans for group activities in the classroom, or even used as a fun way to review material before a test.
So, if you’re looking to make math more enjoyable and accessible for yourself or your students, consider incorporating math worksheets into your routine. They offer a practical and effective way to enhance math skills while keeping things engaging and interactive. Give them a try and see the difference they can make!
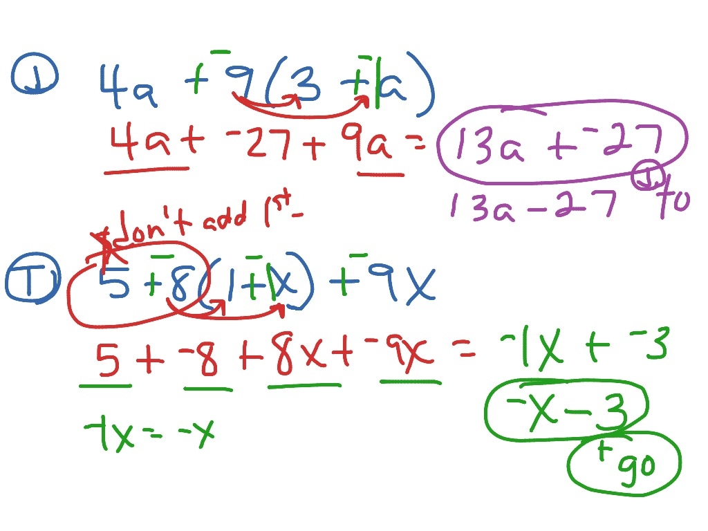
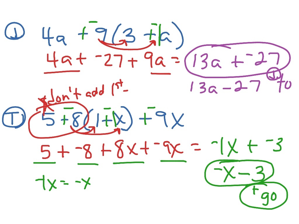
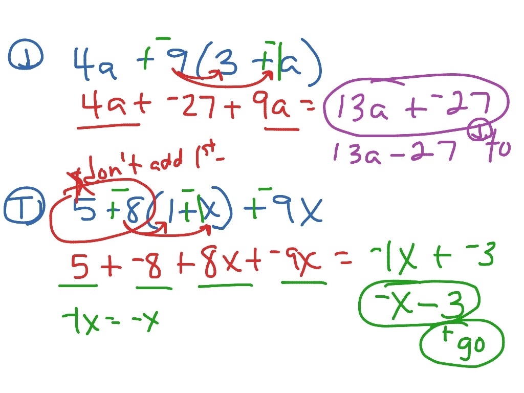
Did You Hear About Worksheet Distributive Property Simplifying Expressions ShowMe
Pizzazz C41 Start YouTube
Did You Hear About YouTube
Mrs Garnet Mrs Garnet At PVPHS
Homework Flightdeck Ford Your Launch Point To Push Your Envelope Of Learning And Loving Mathematics





