Are you looking for a fun and engaging way to help your child improve their math skills? Well, did you hear about math worksheets? These handy tools are a fantastic way to practice math concepts while having fun at the same time!
Math worksheets come in all shapes and sizes, covering everything from basic addition and subtraction to more advanced topics like fractions and algebra. They are a great resource for parents and teachers alike, providing a structured way to reinforce learning outside of the classroom.
did you hear about math worksheet
Get Creative with Math Worksheets
One of the best things about math worksheets is that they can be tailored to suit your child’s specific needs. You can find worksheets that focus on areas where your child may be struggling, or you can choose more challenging worksheets to help them excel in math.
Math worksheets also provide a hands-on way for children to practice their math skills. Whether it’s coloring in shapes, solving puzzles, or completing word problems, these activities make learning math more interactive and engaging for kids of all ages.
By incorporating math worksheets into your child’s routine, you can help them build confidence in their math abilities and develop a positive attitude towards learning. So why not give math worksheets a try and watch your child’s math skills soar!
So, next time you’re looking for a fun and effective way to help your child with math, consider using math worksheets. With a wide range of options available online for free, you can easily find the perfect worksheets to suit your child’s learning needs. Happy math practicing!
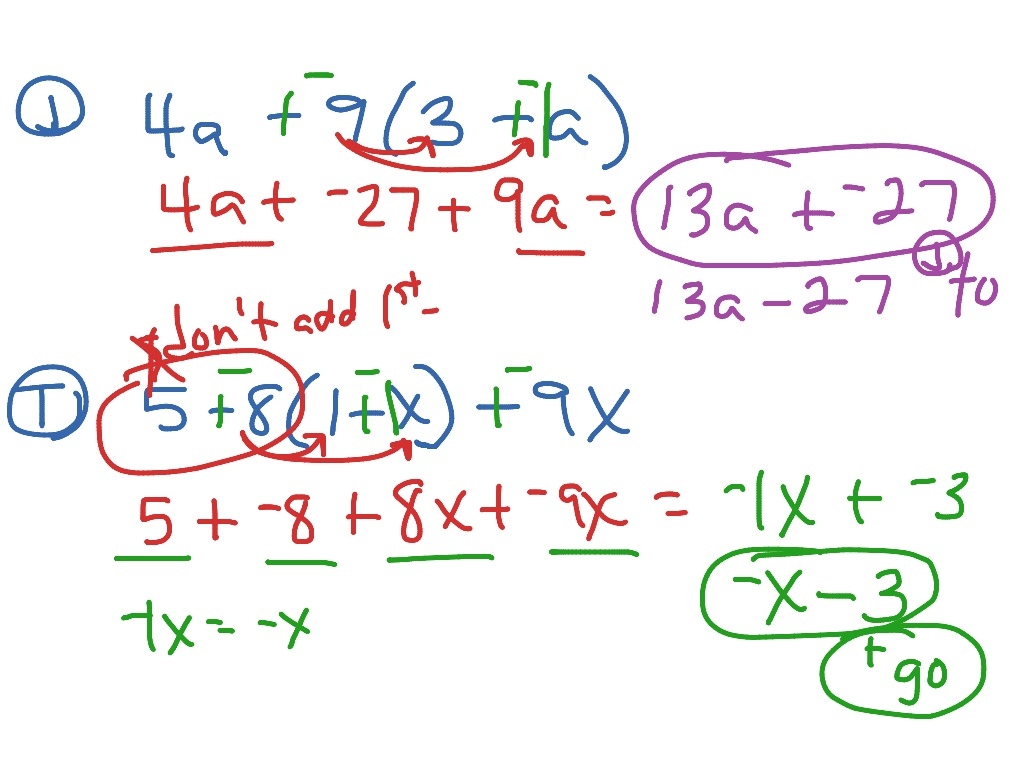
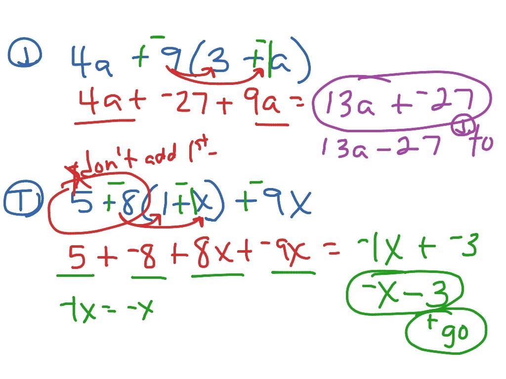
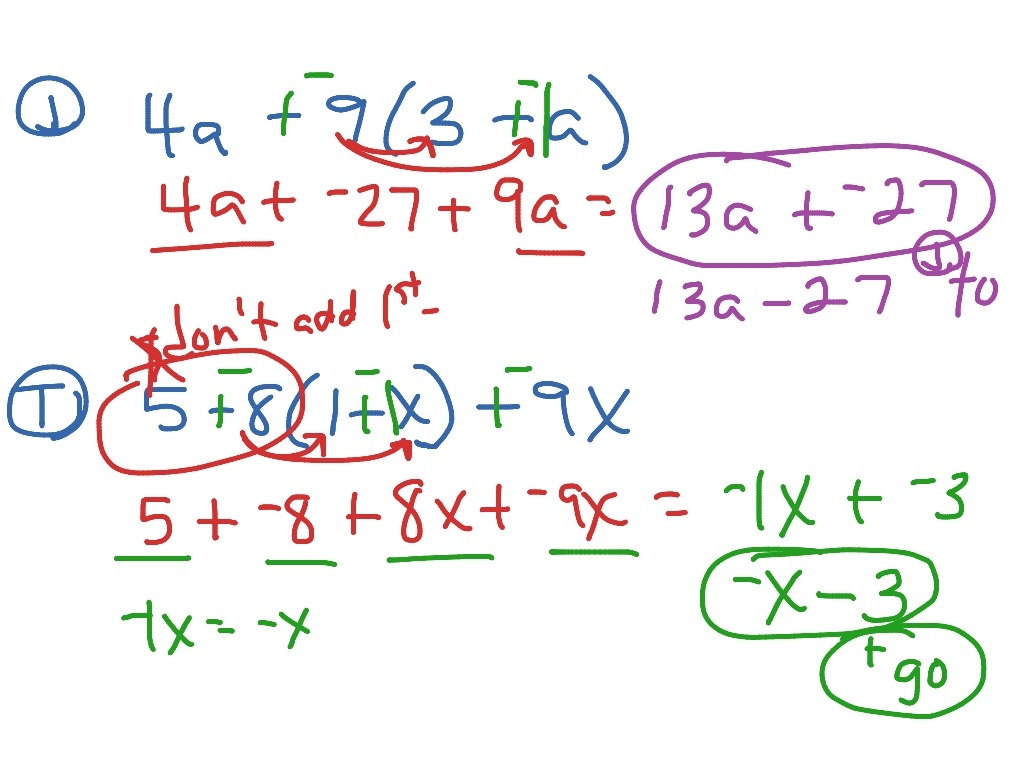
Did You Hear About Worksheet Distributive Property Simplifying Expressions ShowMe
Puzzles Did You Hear Puzzle Key 2 Triangle Lengths Solutions Studocu
Did You Hear About YouTube
Mrs Garnet Mrs Garnet At PVPHS
Homework Flightdeck Ford Your Launch Point To Push Your Envelope Of Learning And Loving Mathematics





