Did U Hear About Math Worksheet

did u hear about math worksheet

did u hear about math worksheet

Have you heard about the latest trend in helping kids with their math skills? It’s all about the math worksheet! These handy tools are designed to make learning math fun and engaging for children of all ages.

The best part about math worksheets is that they come in a variety of formats, from basic addition and subtraction to more complex algebra and geometry problems. This means you can find the perfect worksheet to suit your child’s needs and help them excel in math.

If you’re looking for a way to supplement your child’s math education at home, math worksheets are a great option. They provide extra practice and reinforcement of key math concepts, helping your child build confidence and improve their skills.

With math worksheets, you can track your child’s progress and see how they are improving over time. This can be a great motivator for kids, showing them that their hard work is paying off and encouraging them to keep pushing themselves to do better.

So why not give math worksheets a try today? They’re a fun and effective way to help your child master math concepts and build a strong foundation for future learning. Your child will thank you for it, and you’ll be amazed at how much progress they can make with just a little extra practice.

In conclusion, math worksheets are a fantastic tool for helping kids improve their math skills in a fun and engaging way. Whether your child is struggling with basic math concepts or looking to challenge themselves with more advanced problems, there’s a math worksheet out there for them. So why wait? Start exploring the world of math worksheets today and see the difference they can make in your child’s education.

Valentines Day Multiplication And Division Worksheets Made By Teachers

Valentines Day Multiplication And Division Worksheets Made By Teachers

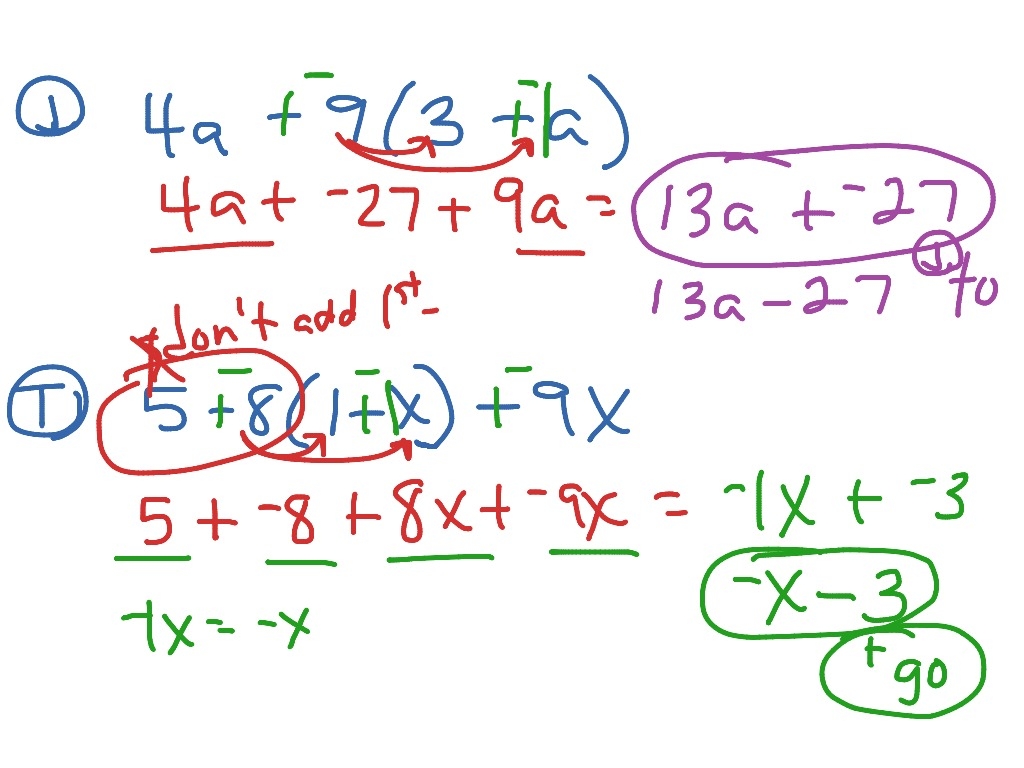
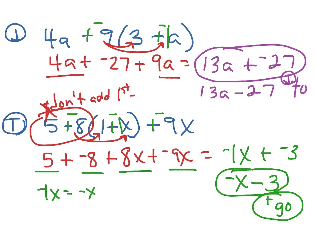
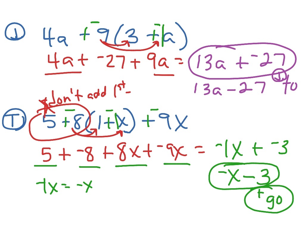
Did You Hear About Worksheet Distributive Property Simplifying Expressions ShowMe

Did You Hear About Worksheet Distributive Property Simplifying Expressions ShowMe

Common Core Math Derive Linear Equation When Given A Graph When B Is Not 0 YouTube

Common Core Math Derive Linear Equation When Given A Graph When B Is Not 0 YouTube

Did You Hear About YouTube

Did You Hear About YouTube

Mrs Garnet Mrs Garnet At PVPHS

Mrs Garnet Mrs Garnet At PVPHS