Nursing Math Practice Worksheets

Med Math Worksheet Sample Med Math Dosage amp Calculations Worksheet Dosage Calculation Studocu

Are you a nursing student looking to sharpen your math skills? Look no further! Nursing math practice worksheets are a great way to improve your calculation abilities while reinforcing key concepts. Whether you’re working on dosage calculations or IV drip rates, these worksheets are designed to help you succeed in your nursing studies. With a … Read more

Nursing Math Practice Worksheets With Answers

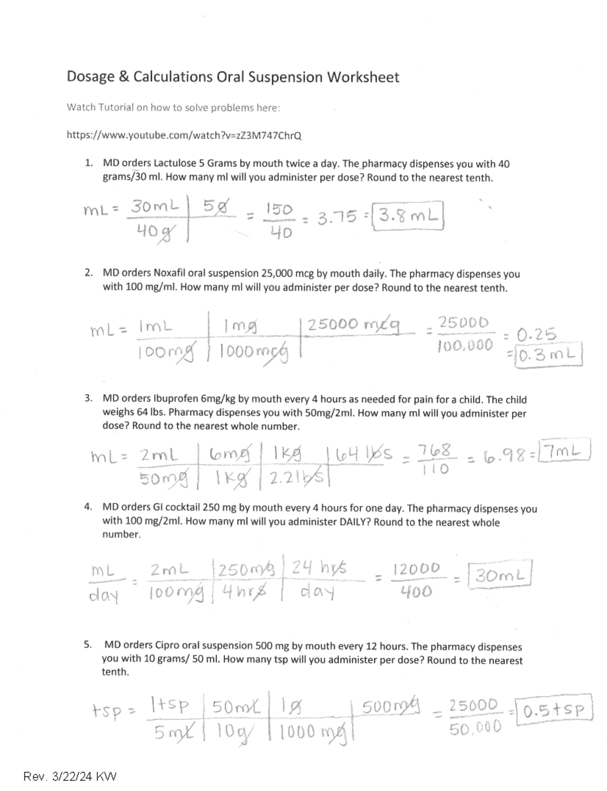
Dosage Calculation Worksheet With Answers Oral Suspension Analysis Studocu

Are you a nursing student looking to sharpen your math skills? Look no further! Nursing math practice worksheets with answers are a great way to practice and improve your math skills in a healthcare setting. Whether you’re calculating medication dosages or IV drip rates, having a solid grasp of math is essential for any nurse. … Read more