Are you a nursing student looking to sharpen your math skills? Look no further! Nursing math practice worksheets are a great way to improve your calculation abilities while reinforcing key concepts. Whether you’re working on dosage calculations or IV drip rates, these worksheets are designed to help you succeed in your nursing studies.
With a variety of problems to solve, nursing math practice worksheets cover a range of topics such as converting measurements, calculating medication doses, and interpreting lab values. These exercises not only test your math skills but also help you apply them to real-world nursing scenarios, making learning both engaging and practical.
nursing math practice worksheets
Mastering Nursing Math Practice Worksheets
By practicing regularly with nursing math worksheets, you can build confidence in your ability to perform calculations accurately and efficiently. This hands-on approach allows you to identify areas where you may need additional support and focus your efforts on improving those skills. With consistent practice, you’ll soon become adept at solving complex math problems with ease.
Additionally, nursing math practice worksheets offer a structured way to review and reinforce essential math concepts that are integral to your nursing practice. From basic arithmetic to more advanced calculations, these exercises provide a comprehensive overview of the mathematical skills needed to succeed in the healthcare field.
Remember, practice makes perfect! By dedicating time to work through nursing math practice worksheets regularly, you’ll not only boost your confidence in math but also enhance your overall nursing knowledge and skills. So, grab your pencils, sharpen your mind, and get ready to excel in your nursing studies with the help of these valuable resources.
Start your journey to mastering nursing math today with these engaging and informative practice worksheets. With dedication and practice, you’ll soon become a math whiz in no time. Happy calculating!
Nursing Math Etsy
Pediatric Calculation Worksheet KEY 1 NSG 3300 Dosage Calculation Weight Practice Problems Studocu
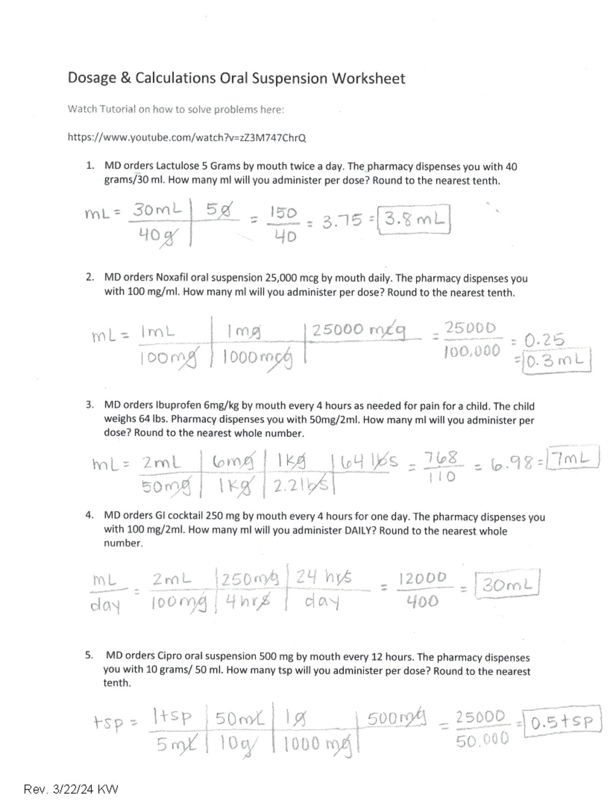
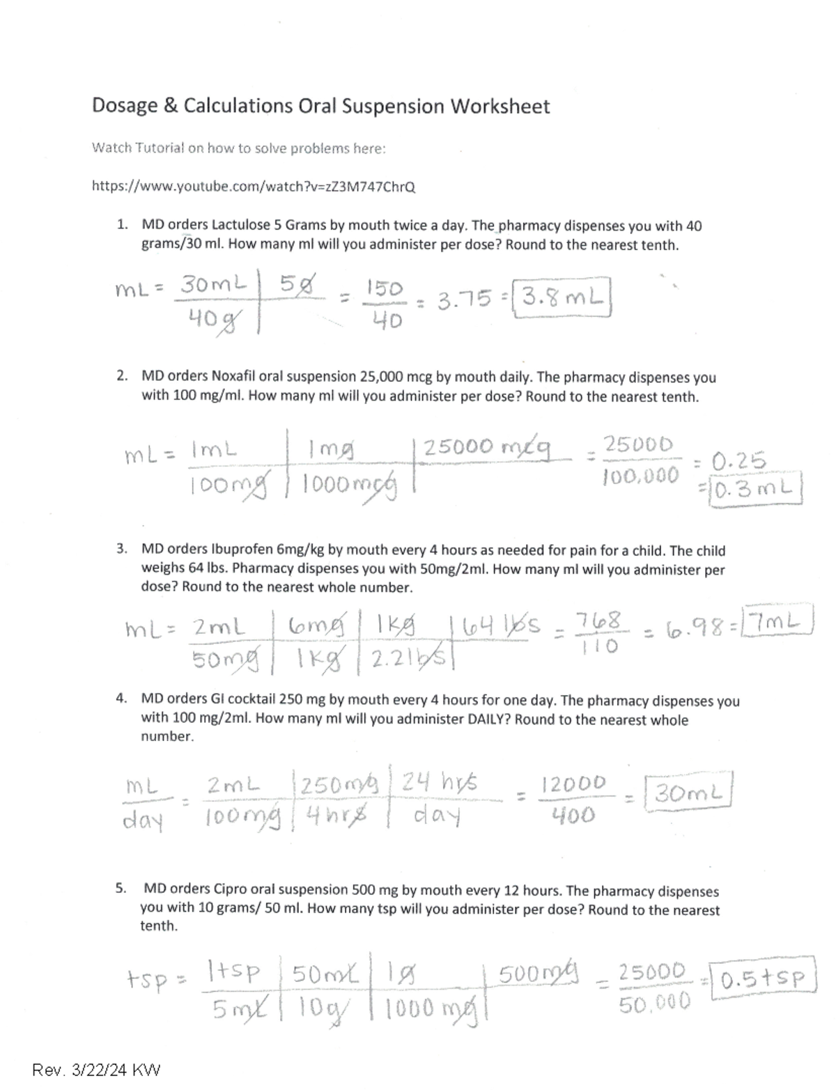
Dosage Calculation Worksheet With Answers Oral Suspension Analysis Studocu
Quiz Worksheet Medical Dosage Calculations Formulas Study
Dosage Calculations Practice Worksheet Conversion Practice Calculate The Following Conversions Studocu





