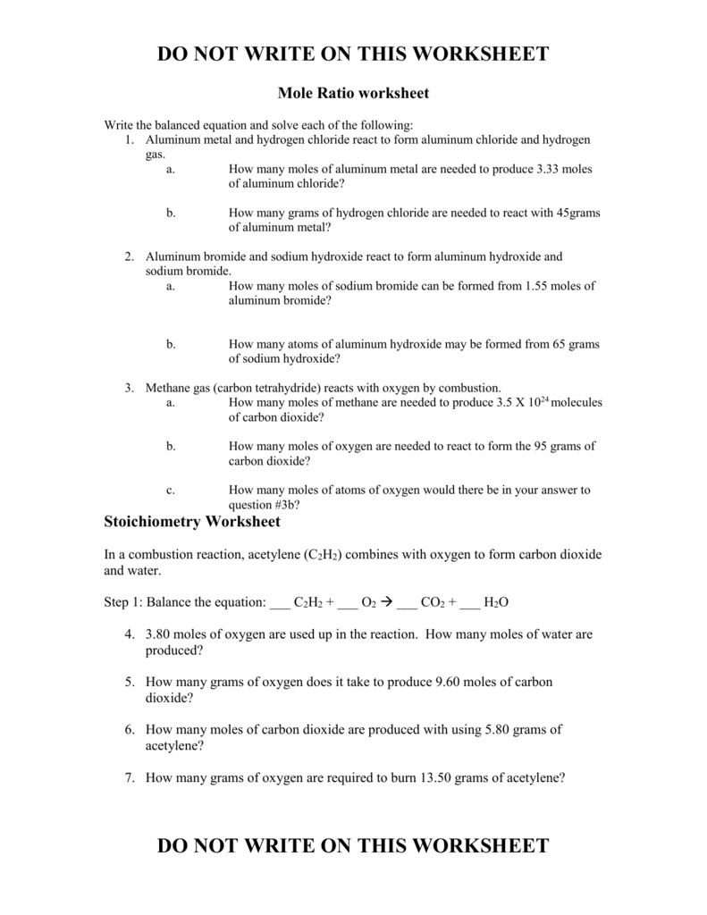
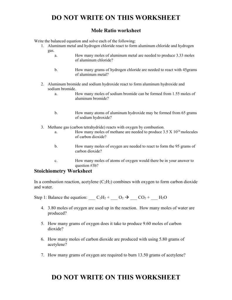
Mole Ratio Worksheet

Have you ever struggled with understanding mole ratios in chemistry? Don’t worry, you’re not alone! Many students find this concept challenging. But fear not, because we’re here to help break it down for you in a simple and easy-to-understand way.

Understanding mole ratios is crucial in chemistry as it helps determine the relationship between different substances in a chemical reaction. By mastering this concept, you’ll be able to calculate the amounts of reactants needed and products formed in a reaction accurately.

mole ratio worksheet

mole ratio worksheet

The Importance of Mole Ratio Worksheet

A mole ratio worksheet is a handy tool that allows you to practice calculating mole ratios and applying them to various chemical reactions. By working through different problems on a mole ratio worksheet, you’ll gain a better understanding of how to use mole ratios effectively in chemistry.

These worksheets often include a series of problems that require you to balance chemical equations, calculate molar masses, and determine the stoichiometry of a reaction. By completing these exercises, you’ll sharpen your skills and build confidence in applying mole ratios to real-world scenarios.

Whether you’re a high school student preparing for a chemistry exam or a college student studying for a major in chemistry, mastering mole ratios is essential for success in the field. So grab a mole ratio worksheet, roll up your sleeves, and start practicing – you’ll be a pro in no time!

In conclusion, understanding mole ratios is a fundamental aspect of chemistry that can seem daunting at first. However, with the right tools and practice, such as using a mole ratio worksheet, you can conquer this concept and excel in your chemistry studies. So don’t be afraid to dive in and explore the world of mole ratios – you’ve got this!

Mole Ratio Practice Worksheet Science Chemical reactions Stoichiometry ShowMe

Mole Ratio Practice Worksheet Science Chemical reactions Stoichiometry ShowMe

Mole Ratio Worksheet Practice Problems And Solutions For Chemistry Studocu

Mole Ratio Worksheet Practice Problems And Solutions For Chemistry Studocu

Mole Ratios Number 23 With Moles Mole Ratios 1 Mole Ratios How Can The Coefficients In A Chemical Studocu

Mole Ratios Number 23 With Moles Mole Ratios 1 Mole Ratios How Can The Coefficients In A Chemical Studocu

Mole Ratio Worksheet Lecture Notes Chemistry Docsity

Mole Ratio Worksheet Lecture Notes Chemistry Docsity

Printable Mole Ratio Worksheets

Printable Mole Ratio Worksheets