If you’re looking to sharpen your medical math skills, practice worksheets with answers in PDF format can be a great resource. These worksheets provide a hands-on way to test your knowledge and improve your confidence in performing calculations accurately.
Whether you’re a student studying for exams or a healthcare professional wanting to brush up on your skills, med math practice worksheets with answers PDF are convenient and effective tools to help you succeed in your medical career.
med math practice worksheets with answers pdf
Mastering Med Math with Practice Worksheets
By working through these practice worksheets, you can gain a better understanding of dosage calculations, IV drip rates, and other essential medical math concepts. The answers provided allow you to check your work and identify areas where you may need more practice.
Repetition is key when it comes to mastering medical math, and these practice worksheets offer a structured way to reinforce your learning. With consistent practice, you can build your confidence and accuracy in performing calculations quickly and efficiently.
Additionally, having access to answers in PDF format allows you to practice anytime, anywhere. Whether you prefer to work on worksheets digitally or print them out for a more tactile experience, you have the flexibility to study at your own pace and convenience.
So, if you’re ready to take your medical math skills to the next level, consider incorporating practice worksheets with answers PDF into your study routine. With dedication and consistent practice, you’ll be well on your way to becoming a proficient and confident medical math practitioner.
Pediatric Dosage Calculations Worksheet With Key Exercises Mathematics Docsity
RN Nursing Student Pharmacology Med Math Made Easy With Step By Step Guides That Shows How To Get The Right Answer From Start To Finish Etsy
RN Fundamentals Dosage Calculation Practice Exam 1 Answer Key Studocu
Dosage Calculations Practice Worksheet Conversion Practice Calculate The Following Conversions Studocu
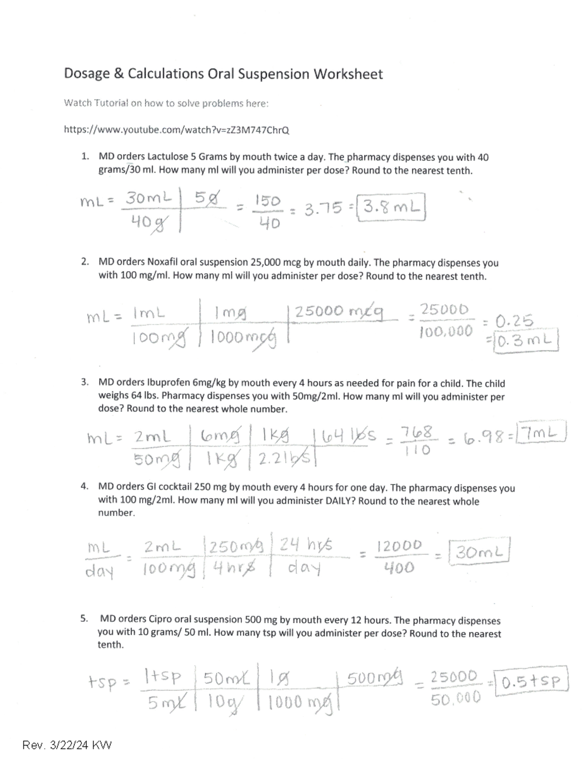
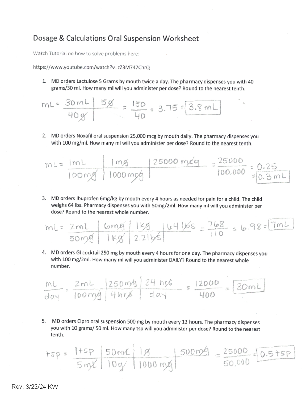
Dosage Calculation Worksheet With Answers Oral Suspension Analysis Studocu





