Have you ever struggled with identifying variables in a worksheet? It can be tricky at first, but with a little practice, you’ll become a pro in no time. Understanding variables is essential for solving equations and analyzing data.
Variables are symbols used to represent unknown or changing values in mathematical equations. They can be letters like x, y, or z. In a worksheet, variables can be used to store data or perform calculations. By identifying and manipulating variables, you can solve complex problems with ease.
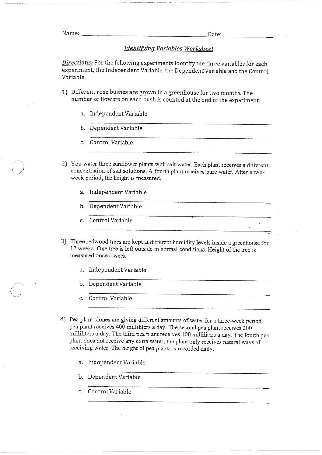
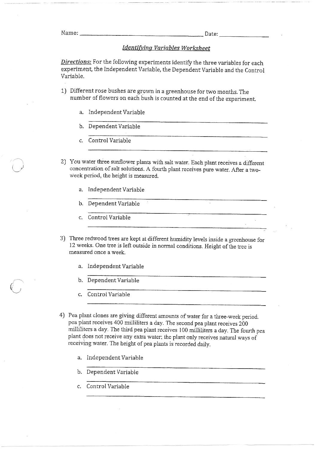
identifying variables worksheet
Identifying Variables Worksheet: A Beginner’s Guide
When working on a worksheet, look for letters or symbols that are not constants. These are likely variables that need to be identified. Pay attention to how variables are used in equations or formulas to determine their purpose and value.
One common mistake is confusing variables with constants. Constants are fixed values that do not change, while variables represent unknown or changing values. By recognizing this distinction, you can accurately identify variables in a worksheet and use them to solve problems effectively.
Practice makes perfect when it comes to identifying variables in a worksheet. Challenge yourself with different types of problems and equations to sharpen your skills. Don’t be afraid to make mistakes – learning from them will only make you better at handling variables in the future.
In conclusion, mastering the art of identifying variables in a worksheet is a valuable skill that will benefit you in various areas of mathematics and data analysis. With patience and practice, you’ll soon be able to spot variables with ease and use them to solve complex problems effortlessly.
Identifying Variables Worksheet Lab Scenarios Independent Dependent Variables Teaching Resources
Engaging Science Variables Worksheet For Students
Identifying Variables Worksheet For Experiment Analysis Studocu
Printable Identifying Variables Worksheets
Grade 7 Identifying Variables Worksheets Printable





