History can be a tough subject to study, but with the right tools, it can become a breeze. One helpful tool for mastering AP US History is using flashcards to review key concepts and dates. These flashcards can help you memorize important information and ace your exams.
APUSH Unit 8 covers a crucial period in US history, focusing on the Civil War and Reconstruction era. Understanding the events and significance of this time period is essential for any history student. By using flashcards, you can reinforce your knowledge and ensure you’re prepared for any test or quiz.
apush unit 8 flashcards
Apush Unit 8 Flashcards: A Study Aid
Flashcards are a versatile study tool that can help you learn and retain information more effectively. By creating flashcards for APUSH Unit 8, you can break down complex topics into bite-sized pieces that are easier to digest. This method allows you to quiz yourself on key facts and concepts, reinforcing your understanding of the material.
Whether you’re studying for a unit test or preparing for the AP exam, flashcards can be a game-changer in your study routine. By regularly reviewing your flashcards, you can commit important information to memory and boost your confidence in your knowledge of APUSH Unit 8.
Don’t underestimate the power of flashcards when it comes to studying history. With a bit of time and effort, you can create a set of flashcards that will help you succeed in AP US History. So grab your index cards and start making your own set of APUSH Unit 8 flashcards today!
In conclusion, flashcards are a valuable tool for any history student looking to improve their study habits and enhance their understanding of key concepts. By creating and using APUSH Unit 8 flashcards, you can take your history knowledge to the next level and achieve academic success. Happy studying!
APUSH 8 Period 8 1945 1980 Review Key Topics Summary Studocu
APUSH Unit 8 1945 1980 Lecture Notes On Cold War And Civil Rights Studocu
Period 8 Hyperdoc Key Concepts Of US History 1945 1980 Studocu
B Period 8 1945 1980 Timeline Period 8 1945 1980 Timeline Add Events To The Timeline Until Studocu
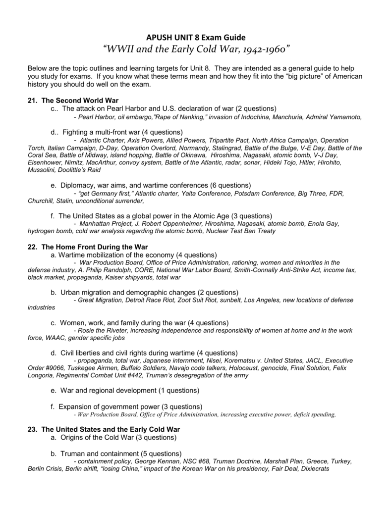
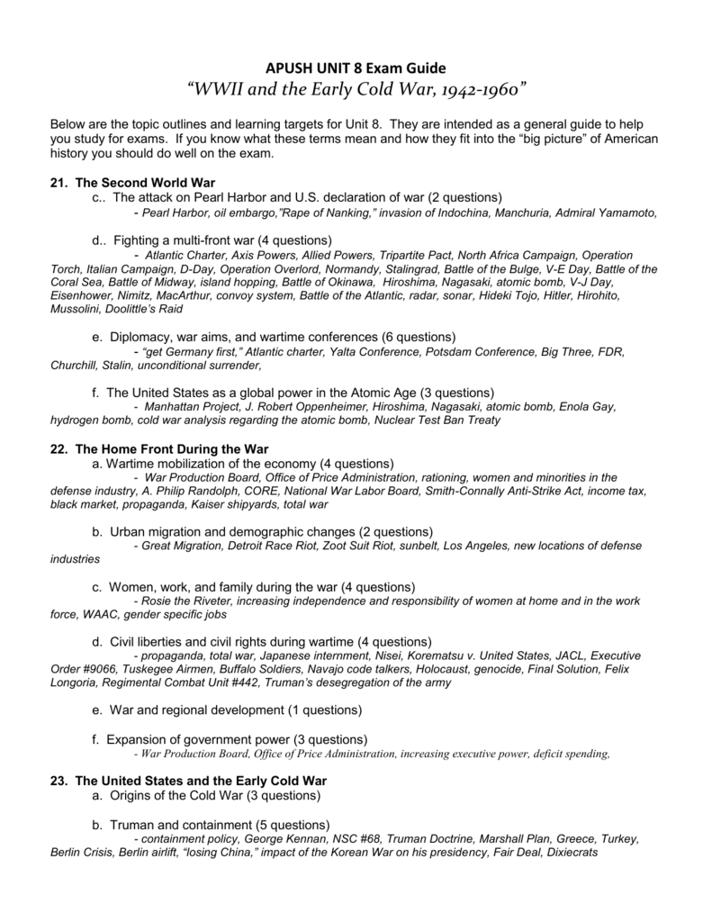
APUSH Unit 8 Progressivism War Overview 1899 1929





