Math can be tricky, especially when it comes to adding and subtracting positive and negative numbers. But don’t worry, we’ve got you covered with a helpful worksheet to practice and master this concept!
Whether you’re a student struggling with math homework or a parent looking to help your child, this worksheet is a great resource to make learning fun and engaging. Let’s dive in and tackle those positive and negative numbers together!
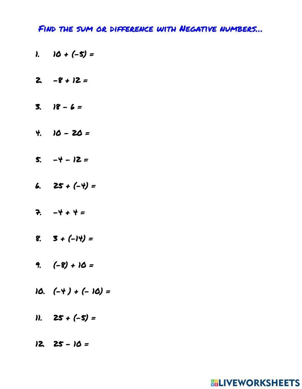
adding and subtracting positive and negative numbers worksheet
Adding and Subtracting Positive and Negative Numbers Worksheet
With our worksheet, you’ll get hands-on practice with adding and subtracting positive and negative numbers. You’ll find a variety of problems to solve, from simple calculations to more challenging exercises that will test your skills.
By working through this worksheet, you’ll build confidence in handling positive and negative numbers, which are essential in everyday life and various math concepts. Plus, you’ll see firsthand how these operations work and why they’re important to understand.
So grab a pencil, get comfortable, and start working on our adding and subtracting positive and negative numbers worksheet. You’ll see improvement in no time and feel more confident in your math abilities. Remember, practice makes perfect!
Don’t let positive and negative numbers intimidate you. With the right tools and practice, you can master this concept and excel in math. So keep working on our worksheet, ask for help when needed, and celebrate your progress along the way. You’ve got this!
Integers Senior Block
Adding And Subtracting With Negative Integers Worksheet Live Worksheets Library
Adding And Subtracting Positive And Negative Numbers Practice Sheet B By Teach Simple
Adding Positive And Negative Integers Worksheets Kindergarten Worksheets Library
Free Printable Adding And Subtracting Negative Numbers Worksheets





